
Adaptive Multi-Paddock Grazing Lowers Soil Greenhouse Gas Emission Potential by Altering Extracellular Enzyme Activity
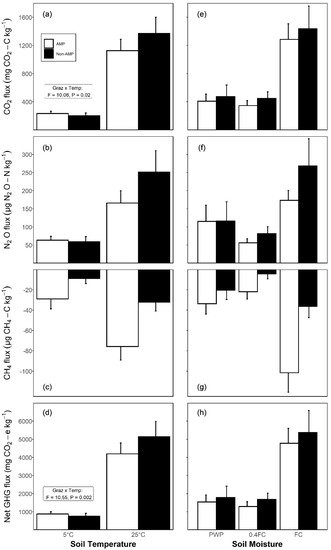
Adaptive multi-paddock (AMP) grazing is a form of rotational grazing in which small paddocks are grazed with high densities of livestock for short periods, with long recovery periods prior to regrazing. We compared the fluxes of greenhouse gases (GHGs), including carbon dioxide (CO2), methane (CH4),…
